Chandra SNR Chandra SNR
True Color Image Gallery: Galactic SNR | Magellanic Cloud SNR
Chandra Supernova Remnant Catalog - Home Page Galactic SNR Magellanic Cloud SNR Pages Chandra Supernova Remnant Catalog - Home Page

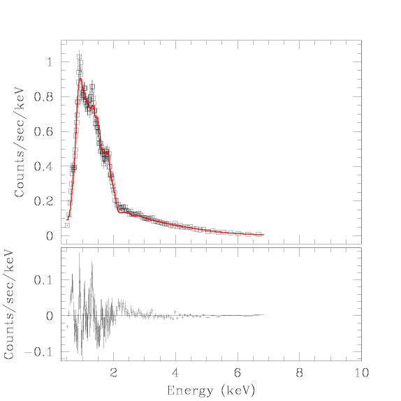
Fit Detail for SNR J0537.8-6910

source=(xswabs * (powlaw + xsvmekal))
reduce chi^2 = 2.239565
nh = 0.4148 10^22/cm^2
PARAMETERS


Back to SNR J0537.8-6910 Index



line
Chandra Supernova Remnant Catalog
Main Page | Galactic SNR | Magellanic Cloud SNR
True Color Image Gallery: Galactic SNR | Magellanic Cloud SNR