Chandra SNR Chandra SNR
True Color Image Gallery: Galactic SNR | Magellanic Cloud SNR
Chandra Supernova Remnant Catalog - Home Page Galactic SNR Magellanic Cloud SNR Pages Chandra Supernova Remnant Catalog - Home Page

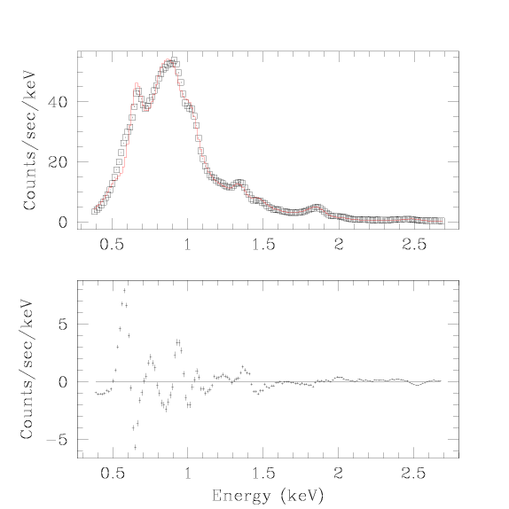
Fit Detail for SNR J0525.0-6938

Entire SNR:

source=
reduce chi^2 =
nh = 8.8735e-02 10^22/cm^2
PARAMETERS
--end--

Back to SNR J0525.0-6938 Index



line
Chandra Supernova Remnant Catalog
Main Page | Galactic SNR | Magellanic Cloud SNR
True Color Image Gallery: Galactic SNR | Magellanic Cloud SNR