Chandra SNR Chandra SNR
True Color Image Gallery: Galactic SNR | Magellanic Cloud SNR
Chandra Supernova Remnant Catalog - Home Page Galactic SNR Magellanic Cloud SNR Pages Chandra Supernova Remnant Catalog - Home Page

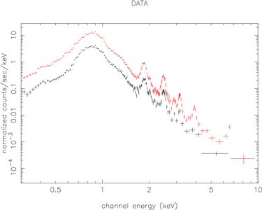
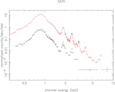
Chandra Spectrum for SNR J0519.5-6902

  • Images show regions used to extract spectra
  • Regions with red strikes are excluded

ObsID 118

total

bright shell at N

clump at NE



Back to SNR J0519.5-6902 Index



line
Chandra Supernova Remnant Catalog
Main Page | Galactic SNR | Magellanic Cloud SNR
True Color Image Gallery: Galactic SNR | Magellanic Cloud SNR