True Color Image Gallery:
Galactic SNR
|
Magellanic Cloud SNR
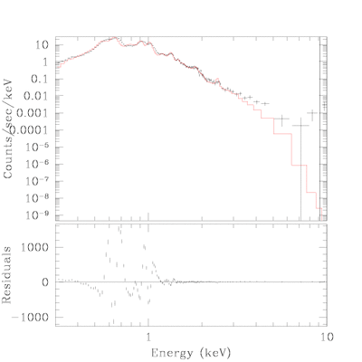
Fit Detail for SNR J0104.1-7201
Total:
Two thermal plasma model was used.
Abundaces were set to 1 except O, Ne, Si, Fe which were thawed and linked between two model.
source=(xswabs * (xsvapec + xsvapec))
reduce chi^2 =
nh = 0.1616 10^22/cm^2
PARAMETERS
DataSet 1: 149 data points -- 140 degrees of freedom.
Statistic value = 5199.26
Probability [Q-value] = 0
Reduced statistic = 37.1376
--end--
Back to SNR J0104.1-7201 Index
Chandra Supernova Remnant Catalog
Main Page
|
Galactic SNR
|
Magellanic Cloud SNR
True Color Image Gallery:
Galactic SNR
|
Magellanic Cloud SNR