Chandra SNR Chandra SNR
True Color Image Gallery: Galactic SNR | Magellanic Cloud SNR
Chandra Supernova Remnant Catalog - Home Page Galactic SNR Magellanic Cloud SNR Pages Chandra Supernova Remnant Catalog - Home Page

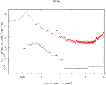
Chandra Spectrum for G327.6+14.6

  • Images show regions used to extract spectra
  • Regions with red strikes are excluded

ObsID 1959

North-Eastern Shell



Back to G327.6+14.6 Index



line
Chandra Supernova Remnant Catalog
Main Page | Galactic SNR | Magellanic Cloud SNR
True Color Image Gallery: Galactic SNR | Magellanic Cloud SNR