Chandra SNR Chandra SNR
True Color Image Gallery: Galactic SNR | Magellanic Cloud SNR
Chandra Supernova Remnant Catalog - Home Page Galactic SNR Magellanic Cloud SNR Pages Chandra Supernova Remnant Catalog - Home Page

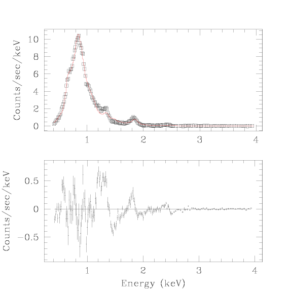
Fit Detail for G299.2-02.9

snr spread over 3 chips, only chip c7 fit

Entire SNR:

source=
reduce chi^2 =
nh = 0.1581 10^22/cm^2
PARAMETERS
--end--

Back to G299.2-02.9 Index



line
Chandra Supernova Remnant Catalog
Main Page | Galactic SNR | Magellanic Cloud SNR
True Color Image Gallery: Galactic SNR | Magellanic Cloud SNR