Chandra SNR Chandra SNR
True Color Image Gallery: Galactic SNR | Magellanic Cloud SNR
Chandra Supernova Remnant Catalog - Home Page Galactic SNR Magellanic Cloud SNR Pages Chandra Supernova Remnant Catalog - Home Page

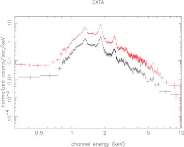
Chandra Spectrum for G011.2-00.3

  • Images show regions used to extract spectra
  • Regions with red strikes are excluded

ObsID 780

total

central source



Back to G011.2-00.3 Index



line
Chandra Supernova Remnant Catalog
Main Page | Galactic SNR | Magellanic Cloud SNR
True Color Image Gallery: Galactic SNR | Magellanic Cloud SNR